Software
Windows 10 Home. yEd Version 3.22
Attachments
Empty Document file with node configuration and template node shapes
ProblemSolving_Example_restructured yEd file
Comment
Hello,
Thank you for giving me an answer.
Well, I don’t know what can be done to solve these problems.
Thank you.
Greetings.
Issues
In a first attempt, I tried several times to create the flowchart following the indications but I had problems in some points. Therefore, I have uninstalled the program, restarted the PC, downloaded a yEd executable file from the website, reinstalled it and restarted the PC before trying again.
Unfortunately, in a second attempt I have obtained the same result. That time I selected default flowchart palette.
I attach pictures of the result after MS Excel Settings step. Indeed, nodes are the same and have a node property that matches their shape.


Then, I open Properties Mapper, I click on "Apply" and finally “Ok”. I get this result:


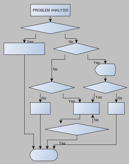
As you can see, some nodes change their shape and other nodes do not (Start node shape is wrong). Label texts also do not appear on most nodes even though they are in the Data "Node" section. In "Text" seccion is empty. Edges appear to have lost nodes junctions.

After that, I run flowchart layout and I get a flowchart with edges that are attached to nodes but node label texts are not visible.
